2019年7月9日 星期
公告
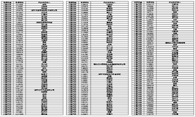
详情点击香城都市报16版PDF图标

  根据《中华人民共和国道路交通安全法》第十四条、公安部《机动车登记规定》第三十一条之规定,下列机动车的登记证书、行驶证、牌照报废已达到强制报废标准,不得上路行驶,现予以公告作废。

  特此公告。

咸宁市公安局交通警察支队

2019年7月9日

2019年7月9日 星期

第16版:文娱星空 上一版3